在弱光环境拍照时,由于光线不足,照片的信噪比会大大下降,照片看起来噪点非常多,导致细节也被淹没。
这时候有些人会选择安上三脚架,用长曝光的方式增加进光量,从而减少噪点。也有人会选择拍摄 6-10 张照片,在 PS 等软件中进行平均值堆栈降噪。
接下来,我们分析一下哪种方式更好。

01.弱光拍摄的难题
弱光拍摄带来的最大问题不是亮度太低,而是信噪比太低。
亮度低,完全可以后期提亮。但是信噪比低,照片的真实细节就会被淹没在噪点中,后期很难补救。如果噪点少,不管照片有多暗,都可以通过后期拉伸亮度和对比度补救。

如图,进光量非常少的树叶部分,后期用 ps 提高亮度,可以看出细节几乎完全损失。我们期望的信号是均匀的,但实际拍摄时难免会产生波动,这就像一个班里每位同学的身高都不同,即使把所有人的身高都提高一倍,大家的身高依然有波动,所以提高亮度无法消除噪点。
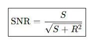
02.信噪比计算
在摄影中,可以用传感器实际转化的光子数的期望均值表示信号,记为 S。
每个像素转化的数量不同,存在波动,这被称为光子噪声(散粒噪声),记为√S。
相机读出信号的过程中,会出现误差,这个误差范围也存在波动,这被称为读出噪声,记为 R。
将噪声相加时,要把所有的噪声平方相加,然后再开根号。这就是叠加后的波动数值。

信噪比就是用信号 S 除以总噪声 N 总。

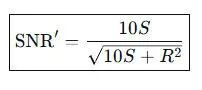
03.长曝光拍摄
原本快门时间是 1 秒,现在我们把快门时间提升到 10 秒,进光量就变为了原来的 10 倍。相当于 S 变为了原来的 10 倍,但 R 不变。(注意,S 变为 10 倍,是因为传感器接收到的光子数变为了原来的 10 倍,不是因为照片亮度提高了 10 倍,照片亮度≠信号)
这时候信噪比变为:

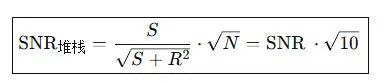
04.平均值堆栈
快门时间仍为 1 秒,连续拍摄 10 张照片,然后做平均值堆栈降噪处理。
信号没有发生变化,仍为 S,但是 N 张图像叠加后,总噪声需要除以√N:

因此,10 张图像叠加后信噪比最终变为:

比较两个计算结果,可以看出增加进光量的信噪比大于多张堆栈,主要是因为读出噪声影响了计算结果。越是弱光的环境,读出噪声的影响越大,两种方式的差距就越明显。


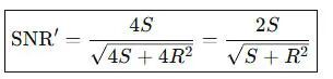
05.像素合并的影响
像素合并,也就是把多个像素合并成 1 个像素,从而提高信噪比。
以 CMOS 传感器像素 4 合 1 为例,信号 S 变为了原来的 4 倍,但是 CMOS 也读取了 4 次信号,每次读出都会产生误差(读出噪声),所以有了 4 个读出噪声。
但是总噪声绝不是 4 个 R 相加,原因在本文第二节“信噪比计算”提到过,现在检查一下自己消化前面的内容了吗。所以总噪声是 4 个 R² 相加,再开根号,就是 2R。
信噪比就变成了:

可以看出,CMOS 传感器(仅限 CMOS 这种读取方式)的像素合并与多张平均值堆栈的降噪效果相同。
一句话总结:增加进光量是提升信噪比的最佳方式,效果通常优于多张平均值堆栈以及像素合并。光线不好,就补光或增加光圈及快门时间吧。
本文来自微信公众号:摄影研修社(ID:shoujiPhotography)